• Home
  • Suspension composite insulators

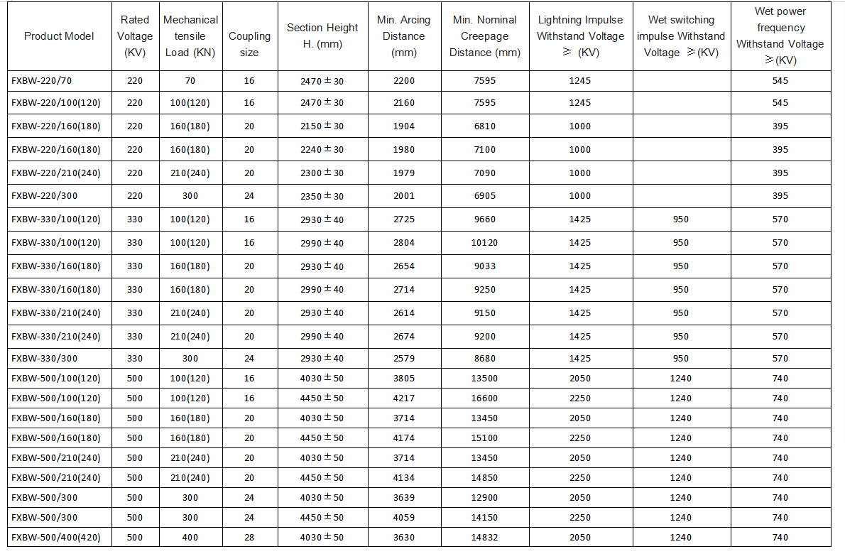
Suspension and Tension Composite Insulator FXBW 220/70 / FXBW330/100 / FXBW500/100

Product classification:

Suspension composite insulators


Jiangxi Jiahong Insulators, providing insulator solutions to the power and utility markets since 1999.

Contact Us

Jiangxi Jiahong Electric Porcelain Manufacturing Co., Ltd

Address:Shangbu Industrial Park, Luxi County, Pingxiang City, Jiangxi Province, China

Contact:Miss Amanda

E-mail:jhdc1981@163.com

Phone:86-18879905783


Copyright© Jiangxi Jiahong Electric Porcelain Manufacturing Co., Ltd   赣ICP备20005140号-1 1667187076776226.png赣公网安备36032302000062号

SAF Coolest v1.2 设置面板BBRSX-ZJJQ-TDSQE-XAD

违禁词: 第一,最,一流,领先,独一无二,王者,龙头,领导者,极致,
修改浏览器滑块样式: 4px,4px,#f00

无数据提示

Sorry,There is currently no content in the current column

You can view other columns or return to!

SVG图标库请自行添加图标,用div包起来,并命名使用